PowerTools SPREAD for Windows Forms 10.0J 関数リファレンス
ERFC

概要

下限から無限大の範囲で、相補誤差関数の積分値を計算します。

書式

ERFC(lowerlimit)

引数

無限大の範囲で積分値を算出するための下限値を指定します。

解説

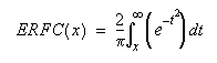
この関数では、相補誤差関数は次のように計算されます。

Equation ERFC

x は引数に指定した下限値です。

データ型

数値データを受け取り、 数値データを返します。

サンプル

ERFC(K16)

ERFC(R16C11)

ERFC(0.49) 結果:0.51166826

使用可能な製品バージョン

製品バージョン 1.0 以降で使用できます。

参照

ERF | STEYX | エンジニアリング関数

 

 


© 2004-2017, GrapeCity inc. All rights reserved.