z 検定の有意値を返します。 z 検定では、一群のデータに対する検定値 x の標準スコアを生成し、正規分布の両側の確率値を返します。
ZTEST(array,x,sigma)
有効な引数は次のとおりです。
| 引数 | 説明 |
|---|---|
| array | 検定対象のデータ配列 |
| x | 検定する値 |
| sigma | (オプション)母集団に対する既知の標準偏差。省略すると、標本の標準偏差が使用されます。 |
sigma を省略すると、array 内のデータを基に計算された標準偏差が使用されます。
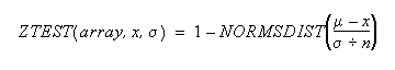
z 検定は次のように計算されます。n はデータ点の数を表します。

全引数に対して数値データを受け取り、 数値データを返します。
ZTEST(A2:D12,40,0.877)
ZTEST(R2C1:R12C4,2)
ZTEST({5,10,15,12,11,8,16,7},10) 結果:0.355512759
ZTEST({5,10,15,12,11,8,16,7},10,3) 結果:0.318675954
製品バージョン 1.0 以降で使用できます。