標本の平均値に対する各データ(またはデータ配列)の偏差の平方和を計算します。
DEVSQ(value1,value2, ...)
DEVSQ(array)
DEVSQ(array1,array2,...)
各引数には倍精度小数点値、整数値、またはこれらの配列(セル範囲)を使用できます。 指定可能な引数の数は最大 255 個です。 値を1つ1つ列挙するのではなく、1つの配列(セル範囲)として指定できます。 また、複数の配列(セル範囲)を使用することもできます。
この関数は、データセットの分散性を調べるために使用します。
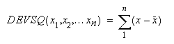
偏差の平方和は次のように計算されます。n は値の数を表します。

引数として指定した配列またはセル参照に文字列、論理値、または空白セルが含まれると、これらの値は無視されます。ただし、値が0のセルは計算対象となります。
全引数に対して数値データまたは数値配列を受け取り、 数値データを返します。
DEVSQ(B3,B5,B9,B10)
DEVSQ(B3:B14)
DEVSQ(R3C2,R5C2,R9C2)
DEVSQ(R3C2:R3C12)
DEVSQ(35,31,47,51,37,31,58,39) 結果:680.875
製品バージョン 1.0 以降で使用できます。