上限から下限の範囲で、誤差関数の積分値を計算します。
ERF(limit,upperlimit)
有効な引数は次のとおりです。
| 引数 | 説明 |
|---|---|
| limit | 下限値(積分の上限値を指定する場合)。upperlimit 引数(上限)を省略すると、この値が上限値とみなされ、下限値は0となります。 |
| upperlimit | (オプション)誤差関数の積分の上限 |
upperlimit に値を指定すると、ERF 関数は limit から upperlimit の範囲で積分値を算出します。 upperlimit 値を指定しないと、ERF 関数は 0 から limit の範囲の積分値を返します。
upperlimit を指定しない場合は、次のように計算されます。

x は limit 引数を表します。
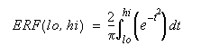
upperlimit を指定する場合は、次のように計算されます。

lo は limit 引数を、hi は upperlimit 引数を表します。
数値データを受け取り、 数値データを返します。
ERF(K16)
ERF(R16C11,R16,C12)
ERF(0.49) 結果:0.51166826
ERF(0.25,0.85) 結果:0.494341544
製品バージョン 1.0 以降で使用できます。
ERFC | STEYX | エンジニアリング関数