指定の値に対するフィッシャー変換値を計算します。
FISHER(value)
変換する数値を、-1 より大きく1未満の値で指定します。
フィッシャー変換では、ほぼ正規的に分布した関数値が生成されます。 この関数は、相関係数に基づく仮説検定に使用します。
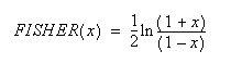
フィッシャー変換は次のように計算されます。

x は value 引数を表します。
数値データを受け取り、 数値データを返します。
FISHER(A43)
FISHER(R4C12)
FISHER(-0.65) 結果:-0.7752987062
製品バージョン 1.0 以降で使用できます。