指定した数値の集合から標準偏差を計算します。
STDEV(value1,value2,...)
各引数にはセル、セル範囲、浮動小数点値、または整数値を指定できます。 この関数には最大 255 個の引数を指定できます。
標準偏差とは、一群の数値が平均値に対してどのように分布しているかを示す値です。
標準偏差は「ノンバイアス法(n-1 法)」によって求められます。
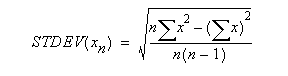
この関数は次のように計算されます。

x が引数値であり、n は値の数を表します。
この関数は、受け取った引数を母集団の標本とみなします。 母集団全体の標準偏差を調べたい場合は、STDEVP 関数を使用して母標準偏差を計算します。
STDEV 関数と STDEVA 関数との違いは、STDEVA には数値だけでなくテキストや論理値も指定できるという点です。
全引数に対して数値データを受け取り、 数値データを返します。
STDEV(A1,B2,C3,D4,E5,F6)
STDEV(A1:A9)
STDEV(R1C2,R3C4,R4C5,R7C2)
STDEV(95,89,73,87,85,76,100,96,96) 結果:9.3422576382
製品バージョン 1.0 以降で使用できます。