GrapeCity SPREAD for Windows Forms 12.0J 関数リファレンス
VAR.S

母集団の標本(数値のみ)に基づく分散を返します。

書式

VAR.S(value1,value2,...)

VAR.S(array)

VAR.S(array1,array2,...)

引数

各引数には倍精度小数点値、整数値、またはこれらの配列(セル範囲)を使用できます。指定可能な引数の数は最大255個です。値を1つ1つ列挙するのではなく、1つの配列(セル範囲)として指定できます。また、複数の配列(セル範囲)を使用することもできます。

解説

分散は、一群のデータが平均値からどれだけ散らばっているかを示します。

引数リストに直接入力した場合、倫理値、および数値を表す文字列は計算対象となります。引数に配列またはセル参照を指定すると、この配列またはセル参照に含まれる数値だけが計算の対象となります。配列またはセル参照内の空白セル、エラー値、論理値、または文字列は無視されます。

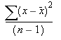
この関数は、次の数式を使用して計算されます。

 

xは標本平均を表し、AVERAGE(number1,number2,…)で算出されます。nは標本数を表します。

VARA関数との違いは、VARAには数値だけでなく、論理値や文字列値も指定できるという点です。

データ型

全引数に対して数値データを受け取り、数値データを返します。

サンプル

VAR.S(B3,C4,B2,D10,E5)

VAR.S(A1:A9)

VAR.S(R1C2,100,R2C5,102)

VAR.S(98,85,76,87,92,89,90) 結果: 45.80952381

 

 


Copyright © 2004 GrapeCity inc.