母集団全体(数値のみ)に基づく分散を返します。
VARP(value1,value2,...)
VARP(array)
VARP(array1,array2,...)
各引数には倍精度小数点値、整数値、またはこれらの配列(セル範囲)を使用できます。 指定可能な引数の数は最大 255 個です。 値を1つ1つ列挙するのではなく、1つの配列(セル範囲)として指定できます。 また、複数の配列(セル範囲)を使用することもできます。
分散は、一群のデータが平均値からどれだけ散らばっているかを示します。
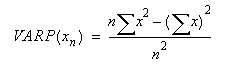
この関数は次のように計算されます。n は引数値の数を表します。

x が引数値であり、n は値の数を表します。
この関数は、受け取った引数を母集団全体とみなします。 母集団の中の標本データの分散を調べるには、VAR 関数を使用します。
この関数と VARPA 関数との違いは、VARPA には数値だけでなくテキストや論理値も指定できるという点です。
全引数に対して数値データを受け取り、 数値データを返します。
VARP(B3,C4,B2,D10,E5)
VARP(A1:A9)
VARP(R1C2,100,R2C5,102)
VARP(98,85,76,87,92,89,90) 結果:39.2653061224
製品バージョン 1.0 以降で使用できます。