母集団(数値のみ)の標本に基づく分散を返します。
VAR(value1,value2,...)
VAR(array)
VAR(array1,array2,...)
各引数には倍精度小数点値、整数値、またはこれらの配列(セル範囲)を使用できます。 指定可能な引数の数は最大 255 個です。 値を1つ1つ列挙するのではなく、1つの配列(セル範囲)として指定できます。 また、複数の配列(セル範囲)を使用することもできます。
分散は、一群のデータが平均値からどれだけ散らばっているかを示します。
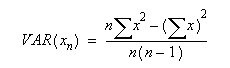
この関数は次のように計算されます。n は引数値の数を表します。

x が引数値であり、n は値の数を表します。
この関数は、受け取った引数を母集団の標本とみなします。 母集団全体の分散を調べるには、VARP 関数を使用して母分散を計算します。
この関数と VARA 関数との違いは、VARA には数値だけでなくテキストや論理値も指定できるという点です。
全引数に対して数値データを受け取り、 数値データを返します。
VAR(B3,C4,B2,D10,E5)
VAR(A1:A9)
VAR(R1C2,100,R2C5,102)
VAR(R1C1:R9C1)
VAR(R1C1:R1C9)
VAR(98,85,76,87,92,89,90) 結果:45.8095238095
製品バージョン 1.0 以降で使用できます。
AVERAGE | COVAR |VARP | VARA | 統計関数