母集団(数値、論理値、またはテキスト)の標本に基づく分散を返します。
VARA(value1,value2,...)
VARA(array)
VARA(array1,array2,...)
各引数には倍精度小数点値、整数値、テキスト、論理値、またはこれらの値の配列(セル範囲)を指定できます。 指定可能な引数の数は最大 255 個です。 値を1つ1つ列挙するのではなく、1つの配列(セル範囲)として指定できます。 また、複数の配列(セル範囲)を使用することもできます。
分散は、一群のデータが平均値からどれだけ散らばっているかを示します。
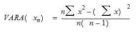
この関数は次のように計算されます。n は引数値の数を表します。

x が引数値であり、n は値の数を表します。
この関数は、受け取った引数を母集団の標本とみなします。 母集団全体の分散を調べるには、VARPA 関数を使用して母分散を計算します。
VARA 関数と異なり、この関数には数値だけでなくテキストや論理値も指定することができます。
全引数に対して数値、論理値、またはテキスト データを受け取り、 数値データを返します。
VARA(B3,C4,B2,D10,E5)
VARA(A1:A9)
VARA(R1C2,100,R2C5,102)
VARA(R1C1:R9C1)
VARA(R1C1:R1C9)
VARA(98,85,76,87,92,89,90) 結果:45.8095238095
製品バージョン 2.5 以降で使用できます。